在電力工作者的實際工作中,經常需要測試電力設備的電阻值,但是根據被試品的電壓等級不同,需要用到不同的測試儀器。經常使用的就是直流電阻測試儀和回路電阻測試儀,這兩種儀器無論是功能還是工作原理都非常相似,所以電力工作者經常會混淆,在工作中很容易弄混應該用哪種,在此,儀天成電力就簡單給大家介紹直流電阻測試儀和回路電阻測試儀的主要區別。
直流電阻測試儀的主要功能為測試電流小于等于1A,主要用于接觸電阻、導通電阻、連接電阻等等各種低電阻的測量中,精度很高,可以到0.01%。
而回路電阻測試儀的主要功能是測試電流一般是在100A和200A左右,用于測量高壓開關、有載開關等開關設備的回路電阻,直接反映開關觸頭的接觸情況。
直流電阻測試儀的工作原理為:

穩壓源是高精度低紋波電源,可提供10A的電流輸出。穩流源輸出的電流受其分擋切換控制電路的控制。當測量選擇不同擋位時,輸出不同的穩定電流。當恒流電流通過被測電阻時在被測電阻上產生穩定的電壓信號,該信號經計算機處理后由液晶顯示器直接顯示電阻值。
回路電阻測試儀的工作原理為:

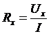
電流源輸出恒定電流流過標準電阻R0和待測電阻Rx。采樣標準電阻R0上的電壓信號U0,經濾波放大處理后送入AD轉換為數字量,進而計算出電流值I,見公式(1)。同樣,采樣待測電阻Rx上的電壓信號Ux,經濾波、多級放大處理后送入AD轉換為數字量,通過公式(2)計算出電阻值Rx。
(1)
(2)
從以上可以看出,直流電阻測試儀和回路電阻測試儀看似功能和工作原理都非常相似,但是實際上卻又各有不同,因此電力工作者在實際工作中如果需要測試電力設備的直流電阻,需要慎重選擇相應的測試儀器。
湖北儀天成電力設備有限公司技術部
2017年9月28日
【 湖北儀天成電力設備有限公司】主要經營:無線通話系統,承試設備,串聯諧振等檢測設備。
咨詢熱線 4000-777-650
串聯諧振 m.cuijiaye.com.cn
我們期待您的來電!